
量子多体物理理论团队围绕“凝聚态物理”、“量子光学”相关领域开展量子材料中的能带结构及输运、光与物质相互作用等理论工作,成员共计13人,全部具有博士学位,其中副教授4人、讲师8人,具有海外留学经历的博士后1名。 团队与四川大学理论物理中心、中国科学院武汉物理与数学研究所、西南科技大学极端条件物质特性实验室建立了长期科研合作关系。为加强基础学科人才培养,团队正在着手建立一个以量子多体物理中的前沿问题为目标的科研平台。在团队组建之前,团队成员已主持以及主研国家自然科学基金面上项目、青年科学基金项目、国家重点实验室开放基金等国家级、省部级课题数项,横向课题数项。
黎雷 博士 团队负责人 |
刘杰 博士副教授 |
向晖 博士(后)副教授 |
谢云霞 博士副教授 |
郑亚辉 博士副教授 |
吕蔚 |
黄贤军 博士 |
马婧 博士(后) |
王榆斌 博士 |
吴飞 博士 |
赵烨印博士(后) |
赵宇鑫 博士 |
1.二维量子材料的能带结构调控与输运性质理论研究
针对外尔半金属、二维过渡金属硫化物、螺旋金属、扭转双层石墨烯等有特殊结构料的拓扑,带隙几何性质引发的光学、电磁以及输运现象,我们用量子多体物理的标准手段,研究其中的原理以及各种耦合与杂质对它们的影响,具体对象包括:量子输运,量子相变,超流与超导等。
2.二维超导体系中的Majorana束缚态理论研究
低维 Majorana 超导系统是目前最具潜力的拓扑量子计算实验平台,我们考察二维超导材料与二维电子气体构成的混合系统,设计破坏系统时间反演对称性的具体方案,通过对系统能带结构、电学输运性质的理论研究,探讨Majorana束缚态存在的可能性与稳定性,为实验中寻找 Majorana 费米子并在超导电路系统中实现拓扑量子计算提供重要的理论参考。
3.量子自由电子激光的设计与理论研究
针对现在正运行的经典自由电子激光重复频率低、纵向相干性较差等不足,设计以激光作为扭摆器的冷电子源量子自由电子激光方案,并在其量子工作区建立量子化光场与电子相互作用的微观模型,研究不同参数下量子自由电子激光的增益、光子统计性质等,为提高光束品质提供可靠的理论依据。
1. 单层二硒化钨系统中的栅极可调平带理论设计
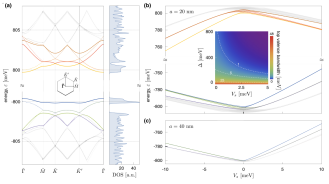
超晶格工程提供了改变准粒子在材料中运动时感受到的晶格布局的手段。我们使用有能隙的堆叠范德瓦尔斯(vdW)材料在图案化介电衬底上进行的带结构超晶格工程,可以推向极致。具体而言,我们发现高质量的vdW图案化介电超晶格(PDS)可以实现一系列稳定的平坦能带,这些平坦能带可以通过门电压原位直接开关。与现有的超晶格平台不同,这些平坦能带的实现不需要精细调谐。相反,随着门电压增大,能带越来越平坦。PDS平坦能带的特征高度可调节:平坦能带的类型(单个非简并或狄拉克锥状)、定域长度和相互作用能量对应用的门电压高度敏感。因此,PDS平坦能带中的电子-电子相互作用可以比带宽和无序展宽都强,为相关行为如平坦能带铁磁提供条件。预期PDS平坦能带可以在一系列现有的带隙vdW材料中实验实现,如单层过渡金属硫化物:二硒化钨等等。该研究成果于2020年在2D Materials期刊上发表。

图 1系统设计与理论计算结果
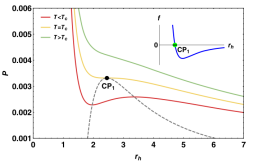
2. 带电AdS黑洞及Lovelock黑洞的相变
我们借助研究凝聚态物理量子多体系统的手段,考察带电AdS黑洞的热动力学性质,发现了一种类似玻色-爱因斯坦凝聚体中的λ-超流相变的行为,该成果发表在2023年的中国科学期刊上。利用ϕ-映射拓扑流理论,在研究Lovelock黑洞热动力学性质过程中,发现了从拓扑类角度给黑洞分类的方法,相关成果发表在2023年的Phys. Rev. D学术期刊。用量子多体物理方法对黑洞的热力学性质进行研究,是与四川大学理论物理中心长期合作的结果,受到国家自然科学基金理论物理专款资助。

图 2 两种不同类型黑洞的相变
3. 石墨烯纳米条带中的自旋输运
我们从理论上设计了如何添加铁磁条带与三角形缺陷几何构型,在石墨烯纳米材料中通过自旋轨道耦合效应,实现电子自旋的翻转,达成介观自旋开关功能。相关理论工作采用非平衡格林函数方法严格计算,于2023年在二区期刊 Diamond & Related Materials 上面发表。这一方向的工作来自与西南科技大学极端条件物质特性实验室的合作。

图 3 石墨烯纳米条带中的自旋翻转与过滤
编辑:cs